Skul.pl
  • Opracowania zadań z podręczników
  • NOWA To jest chemia 1. Klasa 1. Podręcznik. Zakres rozszerzony. Wersja 2024 - rozwiązania i odpowiedzi
  • Podpunkt d)

NOWA To jest chemia 1. Klasa 1. Podręcznik. Zakres rozszerzony. Wersja 2024 - rozwiązania i odpowiedzi

Podręcznik, Wydawnictwo: Nowa Era
Poprzednie

Ćwiczenie 5., d) - strona 249

Następne

Zadanie

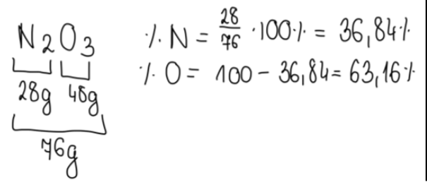
W tym zadaniu oblicz skład procentowy podanego tlenku.

Rozwiązanie

Skul

Wyjaśnienie

Aby obliczyć zawartość procentową pierwiastków w danym związku należy odczytać masy molowe pierwiastków z układu okresowego. Następnie liczymy masę molową całego związku. Aby obliczyć zawartość procentową należy podzielić masę pierwiastka przez masę całego związku, a następnie pomnożyć razy 100%.

Poprzednie
Następne

Chemia - wybrane pytania

Ćwiczenie 1., strona 108, Chemia Nowej Ery. Klasa 7. Zeszyt ćwiczeń – rozwiązania i odpowiedzi
Zadanie 2., strona 106, Chemia. Klasa 1. Zbiór zadań. Zakres rozszerzony- rozwiązania i odpowiedzi
Zadanie 9., strona 142, Świat chemii. Klasa 8. Podręcznik – rozwiązania i odpowiedzi
Zadanie zadanie 27., strona 154, Chemia. Zbiór zadań. Zakres rozszerzony- rozwiązania i odpowiedzi
Ćwiczenie 6., strona 75, Ciekawa chemia. Klasa 7. Zeszyt ćwiczeń – rozwiązania i odpowiedzi
Ćwiczenie 7.2., strona 152, Chemia. Klasa 3. Zbiór zadań. Zakres rozszerzony - rozwiązania i odpowiedzi
Zadanie 2., strona 13, Ciekawa chemia. Klasa 8. Zeszyt ćwiczeń – rozwiązania i odpowiedzi
Zadanie do rozwiązania 15., strona 42, Chemia. Klasa 2. Zakres podstawowy. Podręcznik- rozwiązania i odpowiedzi
Zadanie 8, strona 148, Chemia. Klasa 1. Podręcznik. Zakres podstawowy. Część 1 – rozwiązania i odpowiedzi
Ćwiczenie 1., strona 92, Chemia Nowej Ery. Klasa 8. Zeszyt ćwiczeń – rozwiązania i odpowiedzi
REKLAMA
Skul
Zadania z tego działu
Stechiometria
241
22. Mol i masa molowa
242

Ćwiczenie 1.

249

Podpunkt a)

249

Podpunkt b)

249

Podpunkt c)

249

Podpunkt d)

249

Ćwiczenie 2.

249

Podpunkt a)

249

Podpunkt b)

249

Podpunkt c)

249

Podpunkt d)

249

Ćwiczenie 3.

249

Podpunkt a)

249

Podpunkt b)

249

Podpunkt c)

249

Ćwiczenie 4.

249

Podpunkt a)

249

Podpunkt b)

249

Podpunkt c)

249

Ćwiczenie 5.

249

Podpunkt a)

249

Podpunkt b)

249

Podpunkt c)

249

Podpunkt d)

249

Podpunkt e)

249

Zadanie 6

249

Zadanie 7

249

Zadanie 8

249

Podpunkt a)

249

Podpunkt b)

249
23. Objętość molowa gazów – prawo Avogadra
250

Ćwiczenie 1.

256

Ćwiczenie 2.

256

Ćwiczenie 3.

256

Ćwiczenie 4.

256
24. Obliczenia stechiometryczne
257

Ćwiczenie 1.

276

Ćwiczenie 2.

276

Ćwiczenie 3.

276

Ćwiczenie 4.

276

Ćwiczenie 5.

276

Ćwiczenie 6.

276

Ćwiczenie 7.

276
Trening – rozwiąż zadania
280

Ćwiczenie 1.

280

Ćwiczenie 2.

280

Ćwiczenie 3.

280

Ćwiczenie 4.

280

Ćwiczenie 5.

280

Podpunkt a)

280

Podpunkt b)

280
Pełny spis treści
Skul
Artboard 1
Skul.pl
  • Napisz do nas
  • FAQ
  • Mapa Serwisu
  • Google Play
  • App Store

Korzystanie z portalu oznacza akceptację Regulaminu.
Polityka prywatności. Ustawienia preferencji. Copyright: INTERIA.PL 1999-2023 Wszystkie prawa zastrzeżone.