2 Na + Br2→ 2 NaBr
91,96g + 320g = X NaBr
X = 411,96 g ≈ 412g
Masa otrzymanego bromku sodu wynosi 412g.
Prawo zachowania masy – w układzie zamkniętym ogólna masa produktów powstających w reakcji chemicznej zawsze równa się masie substratów wziętych do tej reakcji.
Kroki:
1. Wypisz wszystkie dane.
2. Zapisz niewiadomą.
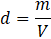
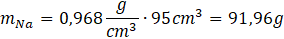
3. Skorzystaj ze wzoru na gęstość i przekształć go, aby obliczyć masę sodu.
4. Zapisz równanie reakcji i skorzystaj z zasady zachowania masy.
5. Wykonaj obliczenia.
6. Zapisz odpowiedź.