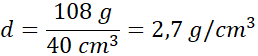
Dane:
Masa metalu m = 108 g
Objętość metalu V = 40 cm3
Szukane: Gęstość metalu d = ?
Wzór:
Rozwiązanie:
Odpowiedź: Szukanym metalem jest glin.
Obliczasz wszystko zgodnie ze wzorem na gęstość. Po uzyskaniu wyniku musisz odszukać w materiałach lub w Internecie, co to za metal.