Dane:
Masa benzyny m = 1000 g
Gęstość benzyny d = 700 kg/m3
Szukane: Objętość benzyny V = ?
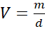
Wzór:
Rozwiązanie:
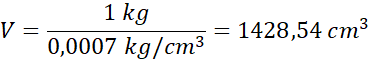
m = 1000 g = 1 kg
d = 0,0007 kg/cm3
Odpowiedź: Objętość 1000 g benzyny zajmuje 1428,54 cm3.
Na początku dokładnie przeczytaj zadanie, ponieważ dane podane są w innych jednostkach, niż oczekują od nas w odpowiedzi. Przekształć jednostki, przekształć wzór, aby obliczyć objętość.