Według danych w Internecie stężenie procentowe kwasu w 1 l (uproszczono, że to 1000 g) coca-coli wynosi 0,02744%.
Kroki:
1. Wypisz wszystkie dane.
2. Zapisz niewiadomą.
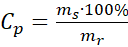
3. Przekształć wzór na stężenie procentowe, aby otrzymać wzór na masę substancji:
Cp – stężenie procentowe,
ms – masa substancji,
mr – masa roztworu.
Wzór po przekształceniu:
4. Oblicz i zapisz odpowiedź.