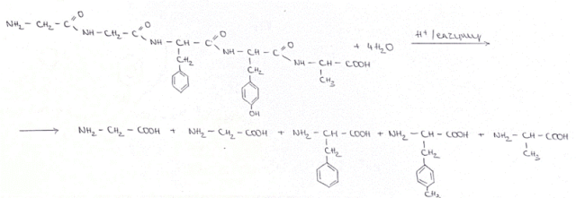
Peptydy powstają w wyniku kondensacji aminokwasów. Produktem ubocznym tej reakcji jest woda. W reakcji jeden aminokwas traci grupę -OH, a drugi aminokwas – atom wodoru z grupy aminowej. Hydroliza peptydów pozwala odtworzyć pierwotne aminokwasy. W reakcji tej bierze udział woda – o jedną cząsteczkę mniej niż liczba aminokwasów, która wchodzi w skład peptydu. Wzory, nazwy i symbole znajdziesz w tabeli aminokwasów.