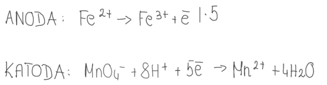
· Anoda- elektroda, na której odbywa się reakcja utleniania. Dotyczy reakcji, która charakteryzuje się niższym potencjałem standardowym.
· Katoda- elektroda, na której odbywa się reakcja redukcji. Dotyczy reakcji, która charakteryzuje się wyższym potencjałem standardowym.
Wartości potencjałów standardowych poszczególnych reakcji należy sprawdzić w tablicach maturalnych.
Reakcję, która zachodzi na anodzie trzeba przekształcić w taki sposób, aby zachodziło na niej utlenianie, a reakcję katodową w taki sposób, aby zachodziła na niej redukcja.