Zadanie

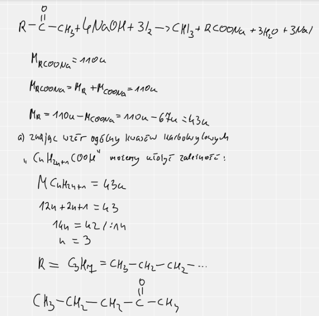
W tym zadaniu musisz ustalić wzór sumaryczny nasyconego ketonu, który poddano próbie jodoformowej, wiedząc, że masa cząsteczkowa otrzymanej soli kwasu karboksylowego wynosi 110u. Wykonaj obliczenia. Narysuj jego wzór półstrukturalny i podaj nazwę systematyczną.

Rozwiązanie

Zadania z tego działu
1: Maturalne karty pracy
14
1.3: JEDNOFUNKCYJNE POCHODNE WĘGLOWODORÓW
47

Zadanie 3

49

Zadanie 5

50

Zadanie 8

51

Zadanie 10

52

Zadanie 11

52

Zadanie 15

54

Zadanie 18

56

Zadanie 22

57

Zadanie 32

61

Zadanie 34

62

Zadanie 42

65

Zadanie 47

70

Zadanie 48

71

Zadanie 50

72

Zadanie 52

73

Zadanie 53

73

Zadanie 55

74

Zadanie 60

76

Zadanie 68

79

Zadanie 79

83

Zadanie 89

88

Zadanie 92

89

Zadanie 95

90

Zadanie 101

93

Zadanie 103

94
1.4: WIELOFUNKCYJNE POCHODNE WĘGLOWODORÓW
97

Zadanie 11*

101

Zadanie 15

103

Zadanie 19

104

Zadanie 26

107

Zadanie 28

108

Zadanie 30

109

Zadanie 33

110

Zadanie 39

113

Zadanie 53

117

Zadanie 55

118

Zadanie 56

118

Zadanie 58

119

Zadanie 63

122

Zadanie 67

123