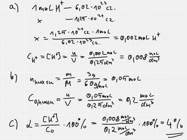
W tym zadaniu musisz obliczyć stopień dysocjacji kwasu etanowego w tym roztworze.
Zadanie 11
18Zadanie 12
19Zadanie 8
25Zadanie 18
29Zadanie 22
30Zadanie 30
33Zadanie 32
34Zadanie 36
35Zadanie 45
38Zadanie 53
41Zadanie 3
49Zadanie 5
50Zadanie 8
51Zadanie 10
52Zadanie 11
52Zadanie 15
54Zadanie 18
56Zadanie 22
57Zadanie 32
61Zadanie 34
62Zadanie 42
65Zadanie 47
70Zadanie 48
71Zadanie 50
72Zadanie 52
73Zadanie 53
73Zadanie 55
74Zadanie 60
76Zadanie 68
79Zadanie 79
83Zadanie 89
88Zadanie 92
89Zadanie 95
90Zadanie 101
93Zadanie 103
94Zadanie 11*
101Zadanie 15
103Zadanie 19
104Zadanie 26
107Zadanie 28
108Zadanie 30
109Zadanie 33
110Zadanie 39
113Zadanie 53
117Zadanie 55
118Zadanie 56
118Zadanie 58
119Zadanie 63
122Zadanie 67
123