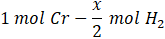
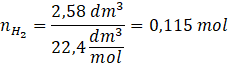
W tym zadaniu musisz policzyć, jaki będzie stopień utlenienia chromu w wytworzonym w podanej reakcji związku chemicznym.
Wzór soli: CrCl2 stopień utlenienia chromu w soli: +II
Zadanie 5
16Zadanie 8
17Zadanie 10
19Zadanie 11
19Zadanie 14
20Zadanie 16
21Zadanie 27
24Zadanie 35
26Zadanie 1
31Zadanie 12
35Zadanie 14
36Zadanie 15
36Zadanie 17
37Zadanie 18
37Zadanie 20
38Zadanie 25
41Zadanie 1
44Zadanie 3
45Zadanie 7
47Zadanie 9
48Zadanie 11
49Zadanie 14
50Zadanie 16
51Zadanie 28
56Zadanie 7
61Zadanie 1
71Zadanie 10
74Zadanie 12
74Zadanie 13
75Zadanie 15
77Zadanie 17
78Zadanie 19
79Zadanie 34
85Zadanie 4
92Zadanie 10
94Zadanie 1
99Zadanie 6
102Zadanie 16
107Zadanie 17
108Zadanie 19.3
110Zadanie 3
113Zadanie 12
117Zadanie 15
119Zadanie 18
120Zadanie 19
121Zadanie 20
121Zadanie 22
122Zadanie 25
123Zadanie 3
128Zadanie 4
128Zadanie 10
131Zadanie 11
131Zadanie 15
133Zadanie 17
134Zadanie 20
135Zadanie 21
136