Wzór aminy:
Otrzymywanie:
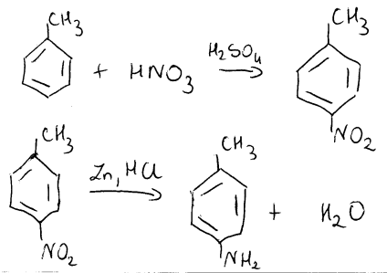
Poszukiwana amina to para-metylobenzenoamina. W wyniku jej nitrowania możliwe są tylko dwie kombinacje podłączenia się grup nitrowych, to jest w pozycji orto- oraz meta- względem grupy aminowej. Rekcja jej otrzymywania jest dwuetapowa i polega na nitrowaniu toluenu, a następnie redukcji związku nitrowego do aminy, wykorzystując cynk i HCl.