Narysuj wzory I-, II- i III- rzędowych amin o wzorze C3H9N
I-rzędowe:
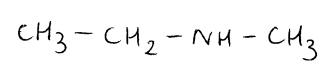
II-rzędowe:
III-rzędowe:
Rzędowość amin określa, z iloma atomami węgla jest połączona grupa aminowa.
Zadanie 1.
Zadanie 2.
Zadanie 3.
Zadanie 4.
Zadanie 5.
Zadanie 6.
Zadanie 7.
Zadanie 8.
Zadanie 9.
Zadanie 10.