Zadanie

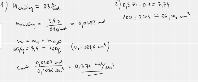
W tym zadaniu musisz obliczyć stężenie molowe nasyconego roztworu aniliny w podanej temperaturze. Wykonaj odpowiednie obliczenia i opisz czynności laboratoryjne, jakie należy wykonać, aby przez rozcieńczenie wodą destylowaną nasyconego roztworu aniliny sporządzić 100 cm3 roztworu aniliny o stężeniu 0,1 mola/dm3.

Rozwiązanie

Zadania z tego działu
2: Karty laboratoryjne
127
1.1: Badanie reaktywności węglowodorów nasyconych, nienasyconych i aromatycznych ze zwróceniem uwagi na różnice w ich właściwościach
128
1.2: Badanie zachowania alkoholi pierwszo-, drugo- i trzeciorzędowych wobec utleniaczy
131
1.3: Badanie zachowania alkohol wobec wodorotlenku miedzi(II)
134
1.4: Odróżnianie fenoli od alkoholi
137
1.5: Otrzymywanie etanalu badanie jego właściwości
140
1.6: Reakcja metanalu z odczynnikiem Tollensa i z wodorotlenkiem miedzi(II)
143
1.8: Badanie właściwości fizycznych i chemicznych kwasów karboksylowych
149
1.9: Porównywanie mocy kwasów karboksylowych i nieorganicznych
152
1.10: Badanie właściwości wyższych kwasów karboksylowych, odróżnianie kwasów nasyconych od nienasyconych
155
1.13: Badanie odczynu wodnych roztworów: amin, mocznika, acetamidu
164
1.14: Badanie właściwości amfoterycznych aminokwasów
167
1.15: Badanie obecności wiązań peptydowych w białkach
170
1.16: Badanie działania różnych substancji i wysokiej temperatury na roztwór białka
173
1.17: Badanie zachowania się białka w reakcji ksantoproteinowej
176
1.18: Badanie właściwości cukrów prostych oraz złożonych
179
1.19: Badanie obecności grup funkcyjnych w cząsteczce glukozy
182
1.20: Badanie hydrolizy cukrów złożonych i wykrywanie produktów reakcji
185
1.22: Wykrywanie obecności grup funkcyjnych w związkach organicznych
192