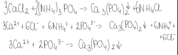
Wskaż, w którym z przedstawionych przypadków powstanie osad, a następnie zapisz równania reakcji strącania osadu w formie cząsteczkowej oraz jonowej – pełnej i skróconej.
Ćwiczenie 1
Ćwiczenie 2
Ćwiczenie 3
Ćwiczenie 4
Ćwiczenie 5
Zadanie 1
Zadanie 4
Ćwiczenie 6
Zadanie 7
Podpunkt a)
Podpunkt b)
Zadanie 2
Ćwiczenie 7
Zadanie 8
Zadanie 9
Zadanie 10
Zadanie 11
Zadanie 12
Zadanie 13
Zadanie 14
Zadanie 15
Zadanie 16
Zadanie 17
Zadanie 18
Podpunkt c)
Zadanie 19
Zadanie 20
Zadanie 21
Zadanie 22
Zadanie 23
Zadanie 24
Zadanie 25
Zadanie 26
Podpunkt d)
Zadanie 27
Zadanie 28
Zadanie 29
Zadanie 30
Zadanie 31
Zadanie 32
Zadanie 33
Zadanie 34
Zadanie 35
Zadanie 36
Zadanie 37
Zadanie 38
Zadanie 39
Zadanie 40