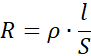
Zadanie

W tym zadaniu, powołując się na wzory i prawa fizyczne, wyjaśnij, z jakiego powodu przewody się nagrzewają i przepalają w cieńszych miejscach.

Rozwiązanie

Wyjaśnienie

Zadania z tego działu
II. Prąd elektryczny
21
7. Pomiar natężenia prądu i napięcia elektrycznego
26
Dziennik laboratoryjny, Przepływ prądu przez ciało człowieka
46
Sprawdź, czy potrafisz
48