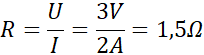
W tym zadaniu wyznacz opór 2 opornika.
Dla każdego punktu w stałej temperaturze opór elektryczny będzie taki sam, więc należy wybrać pewien punkt z wykresu, tutaj (3,2) i podstawić do wzoru.
Zadanie 1
Zadanie 2
Podpunkt a)
Podpunkt b)
Podpunkt c)
Podpunkt d)
Podpunkt e)
Podpunkt f)
Podpunkt g)
Podpunkt h)
Zadanie 3
Zadanie 4
Zadanie 5
Zadanie 6
Zadanie 7
Zadanie 8
Zadanie 9
Zadanie 10
Zadanie 2.
Zadanie 11