Zadanie

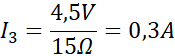
W tym zadaniu, na podstawie informacji podanej w zadaniu, zapisz w tabeli wartości natężenia prądu płynącego przez opornik, gdy przyłożono odpowiednie napięcie.

Rozwiązanie

Wyjaśnienie

Zadania z tego działu
II. Prąd elektryczny
21
7. Pomiar natężenia prądu i napięcia elektrycznego
26
Dziennik laboratoryjny, Przepływ prądu przez ciało człowieka
46
Sprawdź, czy potrafisz
48