W tym zadaniu wyznacz długość fali elektromagnetycznej o podanej częstotliwości.
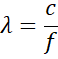
Skorzystaj ze wzoru:
Pamiętaj, że 1 kHz to 1000 Hz.
Zadanie 1
Zadanie 2
Zadanie 3
Podpunkt a)
Podpunkt b)
Zadanie 4
Podpunkt c)
Podpunkt d)
Zadanie 5
Zadanie 6
Zadanie 7
Zadanie 8
Zadanie 9
Zadanie 10