W tym zadaniu wskaż poprawną odpowiedź spośród czterech podanych.
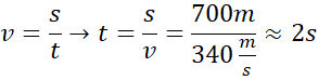
C. 2 s.
Zadanie 1
Zadanie 2
Zadanie 3
Podpunkt a)
Podpunkt b)
Zadanie 4
Podpunkt c)
Podpunkt d)
Zadanie 5
Zadanie 6
Zadanie 7
Zadanie 8
Zadanie 9
Zadanie 10