Zadanie

W tym zadaniu oblicz, gdzie mieszkańcy Krakowa usłyszą hejnał.

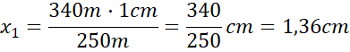
Rozwiązanie

Wyjaśnienie

Zadania z tego działu
III. Drgania i fale
58
18. Ruch drgający
58
Fizyka poza szkołą. Wahadło
59
19. Wykresy ruchu drgającego
60
20. Przemiany energii w ruchu drgającym
62
Fizyka poza szkołą. Gitara na słono
69
23. Wysokość dźwięku
70
Fizyka poza szkołą. Granie na butelce
72
24. Fale elektromagnetyczne
73
25. Energia fal elektromagnetycznych
75
Fizyka poza szkołą. Efekt cieplarniany
76