P = 60 W
U = 230 V
Natężenie prądu płynącego przez żarówkę o mocy 60 W wynosi 0,26 A. Opór włókna żarówki jest równy 884,6 Ω.
P = 60 W
U = 230 V
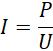
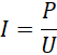
Skorzystaj ze wzoru na moc prądu elektrycznego i przekształć go tak, aby otrzymać I.
Skorzystaj ze wzoru na opór:
Natężenie prądu płynącego przez żarówkę o mocy 60 W wynosi 0,26 A. Opór włókna żarówki jest równy 884,6 Ω.