Skul.pl
  • Opracowania zadań z podręczników
  • Spotkania z fizyką. Klasa 8. Zeszyt ćwiczeń - rozwiązania i odpowiedzi
  • Zadanie 3

Spotkania z fizyką. Klasa 8. Zeszyt ćwiczeń - rozwiązania i odpowiedzi

Zeszyt ćwiczeń, Wydawnictwo: Nowa Era
Poprzednie

Zadanie 3 - strona 73

Następne

Zadanie

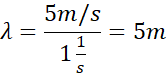
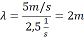
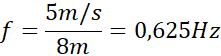
W tym zadaniu oblicz długości fali i częstotliwości fali, a następnie uzupełnij tabelę.

Rozwiązanie

Długość fali λ [m]852,521,25
Częstotliwość f [Hz]0,625 12 2,54

Skul

Wyjaśnienie

Poprzednie
Następne

Fizyka - wybrane pytania

Ćwiczenie 5.30., strona 72, Fizyka. Klasa 1-3. Zakres podstawowy. Zbiór zadań - rozwiązania i odpowiedzi
Zadanie 7.27., strona 63, Zrozumieć fizykę. Klasa 2. Zakres rozszerzony. Zbiór zadań - rozwiązania i odpowiedzi
Zadanie 16.15., strona 119, Zrozumieć fizykę 4. Zakres rozszerzony. Zbiór zadań - rozwiązania i odpowiedzi
Zadanie 7., strona 213, Zrozumieć fizykę 4. Zakres rozszerzony. Zbiór zadań - rozwiązania i odpowiedzi
Zadanie 6.7., strona 81, Fizyka. Klasa 7-8. Zbiór zadań - rozwiązania i odpowiedzi
Zadanie 10.112., strona 143, Fizyka. Klasa 7-8. Zbiór zadań - rozwiązania i odpowiedzi
Ćwiczenie 41.1, strona 185, Fizyka. Klasa 3. Zakres rozszerzony. Zbiór zadań - rozwiązania i odpowiedzi
Zadanie 10.24., strona 63, Fizyka. Klasa 1. Zbiór zadań. Zakres rozszerzony – rozwiązania i odpowiedzi
Zadanie 5.3.3., strona 183, Zrozumieć fizykę. Klasa 1. Zakres rozszerzony. Zbiór zadań - rozwiązania i odpowiedzi
Zadanie 2., strona 238, Fizyka. To jest fizyka. Klasa 8. Podręcznik - rozwiązania i odpowiedzi
REKLAMA
Skul
Zadania z tego działu
IV. Drgania i fale
65
15. Ruch drgający
65

Zadanie 1

65

Zadanie 2

65

Zadanie 3

65

Podpunkt a)

65

Podpunkt b)

65

Zadanie 4

66

Zadanie 5

67

Podpunkt a)

67

Podpunkt b)

67

Podpunkt c)

67

Zadanie 6

67

Podpunkt a)

67

Podpunkt b)

68

Zadanie 7

68
16. Wykresy ruchu drgającego. Przemiany energii
69

Zadanie 1

69

Podpunkt a)

69

Podpunkt b)

69

Zadanie 2

69

Zadanie 3

70

Zadanie 4

71

Podpunkt a)

71

Podpunkt b)

71

Zadanie 5

71

Podpunkt a)

71

Podpunkt b)

71
17. Fale mechaniczne
72

Zadanie 1

72

Zadanie 2

73

Podpunkt a)

73

Podpunkt b)

73

Zadanie 3

73

Zadanie 4

74

Zadanie 5

74

Zadanie 6

75

Podpunkt a)

75

Podpunkt b)

75

Podpunkt c)

75

Podpunkt d)

75

Zadanie 7

75

Zadanie 8

75

Zadanie 9

75

Zadanie 10

75
18. Fale dźwiękowe
77

Zadanie 1

77

Zadanie 2

77

Zadanie 3

78

Zadanie 4

78
19. Wysokość i głośność dźwięku
79

Zadanie 1

79

Zadanie 2

79

Zadanie 3

80

Podpunkt a)

80

Podpunkt b)

81

Podpunkt c)

81

Zadanie 4

82

Zadanie 5

82
20. Fale elektromagnetyczne
83

Zadanie 1

83

Zadanie 2

83

Zadanie 3

84

Zadanie 4

84

Zadanie 5

85

Zadanie 6

85

Podpunkt a)

85

Podpunkt b)

85

Podpunkt c)

85
Dziennik laboratoryjny. Drgania jako źródła dźwięku
86

Zadanie 1

62

Zadanie 2

62

Zadanie 3

62

Zadanie 4

62

Zadanie 5

62

Zadanie 6

62

Zadanie 7

62

Zadanie 8

86
Sprawdź, czy potrafisz
88

Zadanie 1

88

Zadanie 2

88

Zadanie 3

88

Zadanie 4

88

Podpunkt a)

88

Podpunkt b)

88
Pełny spis treści
Skul
Artboard 1
Skul.pl
  • Napisz do nas
  • FAQ
  • Mapa Serwisu
  • Google Play
  • App Store

Korzystanie z portalu oznacza akceptację Regulaminu.
Polityka prywatności. Ustawienia preferencji. Copyright: INTERIA.PL 1999-2023 Wszystkie prawa zastrzeżone.