· prędkość
połączonych kul po zderzeniu
· szybkość
kul po zderzeniu
· tangens kąta
, który prędkość
tworzy z osią
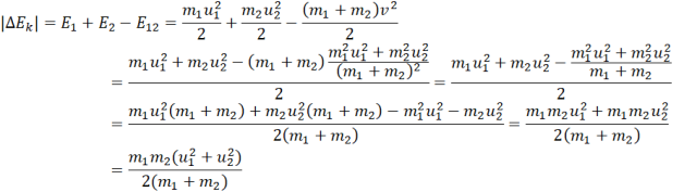
· ubytek energii kinetycznej układu
Na podstawie zasady zachowania pędu wyznacz wartość prędkości po zderzeniu, tę samą zasadę wykorzystaj do znalezienia szybkości. Tangens kąta oblicz korzystając ze składowych szybkości kul. Ubytek energii oblicz jako różnicę między energią początkową dwóch kul a energią końcową połączonych kul.