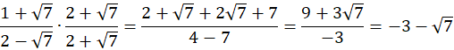
W tym zadaniu musisz usunąć niewymierność z mianownika podanego ułamka.
Pomnóż ułamek razy odpowiednio dobraną jedynkę, tak aby móc zastosować wzór
Ćwiczenie 1.
115Ćwiczenie 2.
115Ćwiczenie 4.
116Ćwiczenie 5.
116Ćwiczenie 6.
117Zadanie 5.1.
117Zadanie 5.2.
117Zadanie 5.3.
117Zadanie 5.4.
117Zadanie 5.5.
117Zadanie 5.6.
118Zadanie 5.7.
118Zadanie 5.8.
118Zadanie 5.9.
118Ćwiczenie 7.
119Ćwiczenie 8.
119Ćwiczenie 9.
120Ćwiczenie 10.
120Zadanie 5.10.
120Zadanie 5.11.
120Zadanie 5.12.
120Zadanie 5.13.
121Zadanie 5.14.
121Zadanie 5.15.
121Zadanie 5.16.
121Zadanie 5.17.
121Zadanie 5.18.
121Ćwiczenie 11.
122Ćwiczenie 14.
123Ćwiczenie 18.
125Ćwiczenie 19.
126Zadanie 5.19.
127Zadanie 5.20.
127Zadanie 5.21.
127Zadanie 5.22.
127Zadanie 5.23.
127Zadanie 5.24.
127Zadanie 5.25.
127Zadanie 5.26.
127Zadanie 5.27.
128Zadanie 5.30.
128