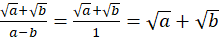
W tym zadaniu musisz uzasadnić podaną równość, wiedząc, że
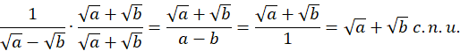
Usuń niewymierność z wyrażenia:
Ćwiczenie 1.
115Ćwiczenie 2.
115Ćwiczenie 4.
116Ćwiczenie 5.
116Ćwiczenie 6.
117Zadanie 5.1.
117Zadanie 5.2.
117Zadanie 5.3.
117Zadanie 5.4.
117Zadanie 5.5.
117Zadanie 5.6.
118Zadanie 5.7.
118Zadanie 5.8.
118Zadanie 5.9.
118Ćwiczenie 7.
119Ćwiczenie 8.
119Ćwiczenie 9.
120Ćwiczenie 10.
120Zadanie 5.10.
120Zadanie 5.11.
120Zadanie 5.12.
120Zadanie 5.13.
121Zadanie 5.14.
121Zadanie 5.15.
121Zadanie 5.16.
121Zadanie 5.17.
121Zadanie 5.18.
121Ćwiczenie 11.
122Ćwiczenie 14.
123Ćwiczenie 18.
125Ćwiczenie 19.
126Zadanie 5.19.
127Zadanie 5.20.
127Zadanie 5.21.
127Zadanie 5.22.
127Zadanie 5.23.
127Zadanie 5.24.
127Zadanie 5.25.
127Zadanie 5.26.
127Zadanie 5.27.
128Zadanie 5.30.
128