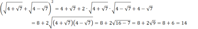
W tym zadaniu musisz uzasadnić, że podane wyrażenie jest liczbą wymierną.
Wyrażenie
Ćwiczenie 1.
115Ćwiczenie 2.
115Ćwiczenie 4.
116Ćwiczenie 5.
116Ćwiczenie 6.
117Zadanie 5.1.
117Zadanie 5.2.
117Zadanie 5.3.
117Zadanie 5.4.
117Zadanie 5.5.
117Zadanie 5.6.
118Zadanie 5.7.
118Zadanie 5.8.
118Zadanie 5.9.
118Ćwiczenie 7.
119Ćwiczenie 8.
119Ćwiczenie 9.
120Ćwiczenie 10.
120Zadanie 5.10.
120Zadanie 5.11.
120Zadanie 5.12.
120Zadanie 5.13.
121Zadanie 5.14.
121Zadanie 5.15.
121Zadanie 5.16.
121Zadanie 5.17.
121Zadanie 5.18.
121Ćwiczenie 11.
122Ćwiczenie 14.
123Ćwiczenie 18.
125Ćwiczenie 19.
126Zadanie 5.19.
127Zadanie 5.20.
127Zadanie 5.21.
127Zadanie 5.22.
127Zadanie 5.23.
127Zadanie 5.24.
127Zadanie 5.25.
127Zadanie 5.26.
127Zadanie 5.27.
128Zadanie 5.30.
128