Wylicz, jaka kwota będzie na lokacie, jeśli na 4 lata złożymy w banku 4000 zł przy rocznym oprocentowaniu 5%.
Będziemy mieć na lokacie 4630,5 zł.
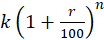
Wartości podstaw do wzoru
gdzie:
k – kwota złożona na lokacie
r – oprocentowanie lokaty
n – ilość lat, na które wpłacamy pieniądze
Zadanie Na początek
Ćwiczenie 1.
Podpunkt a)
Podpunkt b)
Podpunkt c)
Podpunkt d)
Podpunkt e)
Podpunkt f)
Podpunkt g)
Podpunkt h)
Ćwiczenie 2.
Ćwiczenie 3.
Ćwiczenie 4.
Ćwiczenie 5.
Ćwiczenie 6.
Zadanie 1.
Zadanie 2.
Zadanie 3.
Zadanie 4.
Zadanie branżowe 5.
Zadanie branżowe 6.
Zadanie branżowe 7.
Zadanie branżowe
Zadanie To się liczy!
Zadanie branżowe 3.
Zadanie branżowe 4.
Zadanie 5.
Zadanie 6.
Zadanie 7.