Rodzina Malinowskich wpłaciła na lokatę 8000 zł. Jaką kwotę odbiorą oni po roku, jeśli: jest lokata roczna oprocentowana na 6% w skali roku.
Po roku odbiorą oni 8480 zł.
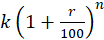
Wartości podstaw do wzoru
gdzie:
k – kwota złożona na lokacie
r – oprocentowanie lokaty
n – ilość lat, na które wpłacamy pieniądze
Zadanie Na początek
Ćwiczenie 1.
Podpunkt a)
Podpunkt b)
Podpunkt c)
Podpunkt d)
Podpunkt e)
Podpunkt f)
Podpunkt g)
Podpunkt h)
Ćwiczenie 2.
Ćwiczenie 3.
Ćwiczenie 4.
Ćwiczenie 5.
Ćwiczenie 6.
Zadanie 1.
Zadanie 2.
Zadanie 3.
Zadanie 4.
Zadanie branżowe 5.
Zadanie branżowe 6.
Zadanie branżowe 7.
Zadanie branżowe
Zadanie To się liczy!
Zadanie branżowe 3.
Zadanie branżowe 4.
Zadanie 5.
Zadanie 6.
Zadanie 7.