Zadanie

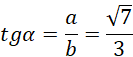
Musisz obliczyć pozostałe wartości trygonometryczne za pomocą tw. Pitagorasa oraz wzorów na funkcje trygonometryczne.

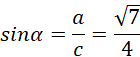
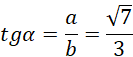
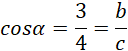
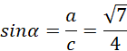
Rozwiązanie

Wyjaśnienie

Zadania z tego działu
10. Funkcje trygonometryczne kąta ostrego w trójkącie prostokątnym
227