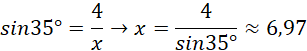
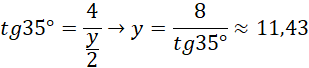
Musisz obliczyć pozostałe długości boków, wykorzystując funkcje trygonometryczne.
Ćwiczenie 3
228Ćwiczenie 4
229Ćwiczenie 5
229Ćwiczenie 6
230Zadanie 10.2
230Zadanie 10.6
231Zadanie 10.7
231Zadanie 10.10
232Zadanie 10.12
232Ćwiczenie 9
233Ćwiczenie 10
233Ćwiczenie 13
235Ćwiczenie 15
235Zadanie 10.14
235Zadanie 10.15
236Zadanie 10.16
236Zadanie 10.17
236Zadanie 10.21
236Zadanie 10.23
237Ćwiczenie 18
238Ćwiczenie 20
238Zadanie 10.24
240Zadanie 10.25
240Ćwiczenie 24
241Ćwiczenie 25
242Ćwiczenie 26
243Zadanie 10.31
244Zadanie 10.32
244Zadanie 10.33
244Zadanie 10.35
245Zadanie 10.36
246Zadanie 10.37
246Ćwiczenie 31
247Ćwiczenie 32
248Ćwiczenie 33
248Ćwiczenie 34
248Ćwiczenie 36
249Ćwiczenie 37
250Ćwiczenie 38
250Ćwiczenie 39
250Zadanie 10.43
250Zadanie 10.44
251Zadanie 10.45
251Zadanie 10.49
251Zadanie 10.50
252Zadanie 10.51
252Zadanie 10.52
252Zadanie 7
253Zadanie 9
253Zadanie 10
253Ćwiczenie 1
227Ćwiczenie 2
227