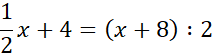
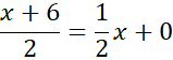
Przykłady równań sprzecznych:
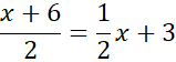
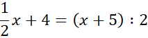
Przykłady równań tożsamościowych:
Równanie tożsamościowe ma nieskończenie wiele rozwiązań, należy wpisać takie wyrażenia, by lewa strona była taka sama jak prawa. Równanie sprzeczne nie ma rozwiązań; należy wpisać takie wyrażenia, by lewa strona różniła się od prawej o jakąś liczbę.