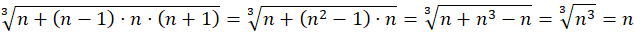
W tym zadaniu musisz obliczyć
Załóżmy, że n = 2018. Wówczas otrzymujemy:
Po podstawieniu otrzymujemy odpowiedź: 2018.
Skorzystaj ze wzoru:
Ćwiczenie 1
82Ćwiczenie 2
82Ćwiczenie 3
83Ćwiczenie 4
83Zadanie 1
84Zadanie 2
84Zadanie 3
84Zadanie 4
84Zadanie 5
84Zadanie 6
85Zadanie 7
85Zadanie 8
85Zadanie 9
85Zadanie 13
85Ćwiczenie 1
86Ćwiczenie 2
86Ćwiczenie 3
88Ćwiczenie 4
88Zadanie 1
89Zadanie 2
89Zadanie 3
89Zadanie 4
89Zadanie 5
89Zadanie 6
89Ćwiczenie 1
91Ćwiczenie 2
92Zadanie 1
92Zadanie 2
92Zadanie 3
92Ćwiczenie 1
94Ćwiczenie 2
95Ćwiczenie 3
96Ćwiczenie 4
97Ćwiczenie 6
98Zadanie 1
98Zadanie 2
98Zadanie 3
99Zadanie 4
99Zadanie 5
99Zadanie 6
99Zadanie 7
99Zadanie 8
100Zadanie 9
100Zadanie 10
100Zadanie 12
100Zadanie 13
100Ćwiczenie 1
101Ćwiczenie 2
101Ćwiczenie 3
104Ćwiczenie 9
107Zadanie 1
108Zadanie 2
109Zadanie 3
109Zadanie 4
109Zadanie 5
109Zadanie 6
110Zadanie 9
110Ćwiczenie 1
111Zadanie 1
112Zadanie 2
112Zadanie 3
112Zadanie 4
112Ćwiczenie 1
115Zadanie 1
116Zadanie 2
116Zadanie 3
116Zadanie 4
116Zadanie 5
116Zadanie 6
116Ćwiczenie 1
121Ćwiczenie 2
121Zadanie 1
123Zadanie 2
123Zadanie 3
124Zadanie 4
124Zadanie 5
124Zadanie 6
124Zadanie 10
125