Musisz udowodnić podaną zależność za pomocą podobieństwa trójkątów.
Przyjmując oznaczenia zgodnie z rysunkiem powyżej, możemy założyć:
P – punkt przecięcia przekątnych oraz odcinków |KM| i |LN|
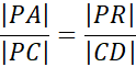
Trójkąty ACD i APR są do siebie podobne z cechy kąt – kąt – kąt, więc możemy zapisać:
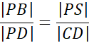
Trójkąty BCD i BPS są do siebie podobne z cechy kąt – kąt – kąt, więc możemy zapisać:
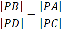
Trójkąty ABP i CDP są do siebie podobne z cechy kąt – kąt – kąt, więc możemy zapisać:
Podstawiając wcześniej wyprowadzone zależności:
Możemy zauważyć, że wielokąty AKMD oraz BCNL to równoległoboki, więc:
Zadanie 1.1.
146Zadanie 1.4.
147Zadanie 1.8.
147Zadanie 1.13.
147Zadanie 1.18.
148Zadanie 1.19.
148Zadanie 1.24.
148Zadanie 1.27.
148Zadanie 2.1.
159Zadanie 2.2.
159Zadanie 2.7.
159Zadanie 2.12.
148Zadanie 3.3.
174Zadanie 3.12.
175Zadanie 3.13.
175Zadanie 3.15.
176Zadanie 4.2.
183Zadanie 4.3.
184Zadanie 4.4.
184Zadanie 4.6.
184Zadanie 4.7.
184Zadanie 4.8.
184Zadanie 4.9.
184Zadanie Prosto do matury 5.
186Zadanie 5.2.
192Zadanie 5.3.
192Zadanie 5.6.
193Zadanie 5.7.
193Zadanie 5.9.
193Zadanie 6.2.
208Zadanie 6.3.
209Zadanie 6.4.
209Zadanie 6.5.
209Zadanie 6.10.
210Zadanie 30.
217Zadanie 39.
218