Musisz obliczyć pole powstałego czworokąta PIES.
Pole zadanego czworokąta PIES wynosi 4.
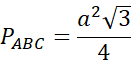
Trójkąt ABC jest trójkątem równobocznym o wartości pola równej 9. Załóżmy, że bok trójkąta oznaczamy litera a, wtedy:
Bok trójkąta BC został podzielony na trzy równe odcinki, więc:
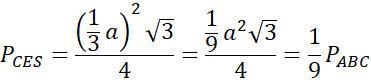
Z rysunku możemy odczytać, też, że trójkąt CES również jest równoboczny:
Więc pole tego trójkąta wyniesie:
Możemy również zauważyć, że bo „zsunięciu” do siebie trójkątów APS i IPB wspólną długością |SP|=|IP| otrzymamy trójkąt równoboczny o bokach:
Więc pole tych trójkątów wyniesie:
By obliczyć pole szukanego czworokąta PIES należy odjąć od pola trójkąta ABC pola obliczonych trójkątów:
Zadanie 1.1.
146Zadanie 1.4.
147Zadanie 1.8.
147Zadanie 1.13.
147Zadanie 1.18.
148Zadanie 1.19.
148Zadanie 1.24.
148Zadanie 1.27.
148Zadanie 2.1.
159Zadanie 2.2.
159Zadanie 2.7.
159Zadanie 2.12.
148Zadanie 3.3.
174Zadanie 3.12.
175Zadanie 3.13.
175Zadanie 3.15.
176Zadanie 4.2.
183Zadanie 4.3.
184Zadanie 4.4.
184Zadanie 4.6.
184Zadanie 4.7.
184Zadanie 4.8.
184Zadanie 4.9.
184Zadanie Prosto do matury 5.
186Zadanie 5.2.
192Zadanie 5.3.
192Zadanie 5.6.
193Zadanie 5.7.
193Zadanie 5.9.
193Zadanie 6.2.
208Zadanie 6.3.
209Zadanie 6.4.
209Zadanie 6.5.
209Zadanie 6.10.
210Zadanie 30.
217Zadanie 39.
218