Musisz zapisać równania wynikające z warunków zależności między okręgami oraz zapisać wzór na obwód otrzymanego trójkąta.
Niech:
Z treści zadania:
Zapisując warunki okręgów dla podanego zadania:
Zapisując wzór na obwód trójkąta:
Niech:
Z treści zadania:
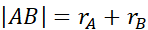
Ogólny warunek na okręgi styczne zewnętrznie:
Ogólny warunek na okręgi styczne wewnętrznie:
Zapisując warunki okręgów dla podanego zadania:
Zapisując wzór na obwód trójkąta:
Zadanie 1.1.
146Zadanie 1.4.
147Zadanie 1.8.
147Zadanie 1.13.
147Zadanie 1.18.
148Zadanie 1.19.
148Zadanie 1.24.
148Zadanie 1.27.
148Zadanie 2.1.
159Zadanie 2.2.
159Zadanie 2.7.
159Zadanie 2.12.
148Zadanie 3.3.
174Zadanie 3.12.
175Zadanie 3.13.
175Zadanie 3.15.
176Zadanie 4.2.
183Zadanie 4.3.
184Zadanie 4.4.
184Zadanie 4.6.
184Zadanie 4.7.
184Zadanie 4.8.
184Zadanie 4.9.
184Zadanie Prosto do matury 5.
186Zadanie 5.2.
192Zadanie 5.3.
192Zadanie 5.6.
193Zadanie 5.7.
193Zadanie 5.9.
193Zadanie 6.2.
208Zadanie 6.3.
209Zadanie 6.4.
209Zadanie 6.5.
209Zadanie 6.10.
210Zadanie 30.
217Zadanie 39.
218