Musisz wyznaczyć odcinek o zadanych własnościach.
Konstrukcja 1:
Konstrukcja 2:
Konstrukcja 3:
Konstrukcja 1:
1. Narysuj dwie dowolne proste przecinające się w punkcie A.
2. Na jednej prostej odmierz jednostkową długość odcinka: |AE| = 1
3. Na obu prostych wyznacz za pomocą cyrkla odcinki długości: |AD| = |EF| = a
4. Poprowadź prostą przez punkty E i D.
5. Poprowadź prostą równoległą do prostej ED przechodzącą przez punkt F.
6. Otrzymany odcinek:
Konstrukcja 2:
Analogicznie jak konstrukcja 1, aby wyznaczyć długość odcinka
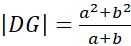
Konstrukcja 3:
1. Narysuj dwie dowolne proste przecinające się w punkcie A.
2. Na jednej prostej odmierz za pomocą cyrkla odcinki długości: |AE| = a, |EF| = b, |FG| = 1.
3. Na drugiej prostej odmierz za pomocą cyrkla odcinki długości: |AB| = a2, |BC| = b2
4. Poprowadź prostą przez punkty F i C.
5. Poprowadź prostą równoległą do prostej FC przechodzącą przez punkt G.
6. Otrzymany odcinek:
Zadanie 1.1.
146Zadanie 1.4.
147Zadanie 1.8.
147Zadanie 1.13.
147Zadanie 1.18.
148Zadanie 1.19.
148Zadanie 1.24.
148Zadanie 1.27.
148Zadanie 2.1.
159Zadanie 2.2.
159Zadanie 2.7.
159Zadanie 2.12.
148Zadanie 3.3.
174Zadanie 3.12.
175Zadanie 3.13.
175Zadanie 3.15.
176Zadanie 4.2.
183Zadanie 4.3.
184Zadanie 4.4.
184Zadanie 4.6.
184Zadanie 4.7.
184Zadanie 4.8.
184Zadanie 4.9.
184Zadanie Prosto do matury 5.
186Zadanie 5.2.
192Zadanie 5.3.
192Zadanie 5.6.
193Zadanie 5.7.
193Zadanie 5.9.
193Zadanie 6.2.
208Zadanie 6.3.
209Zadanie 6.4.
209Zadanie 6.5.
209Zadanie 6.10.
210Zadanie 30.
217Zadanie 39.
218