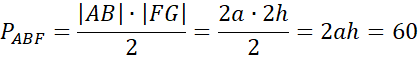
Musisz obliczyć pola poszczególnych trójkątów utworzonych przez przekątne trapezu.
Przyjmując oznaczenia zgodnie z rysunkiem powyżej, możemy zauważyć, że:
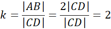
Trójkąty ABF i CDF są do siebie podobne w skali k:
Więc:
Niech:
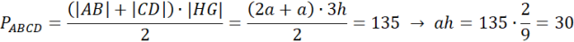
Zapisując wzór na pole trapezu:
Zapiszmy wzory na pola trójkątów ABF i CDF:
Ponieważ trapez ABCD jest równoramienny to pola trójkątów ADF i BCF są sobie równe:
Dla sumy pól trójkątów możemy zapisać równanie:
Zadanie 1.1.
146Zadanie 1.4.
147Zadanie 1.8.
147Zadanie 1.13.
147Zadanie 1.18.
148Zadanie 1.19.
148Zadanie 1.24.
148Zadanie 1.27.
148Zadanie 2.1.
159Zadanie 2.2.
159Zadanie 2.7.
159Zadanie 2.12.
148Zadanie 3.3.
174Zadanie 3.12.
175Zadanie 3.13.
175Zadanie 3.15.
176Zadanie 4.2.
183Zadanie 4.3.
184Zadanie 4.4.
184Zadanie 4.6.
184Zadanie 4.7.
184Zadanie 4.8.
184Zadanie 4.9.
184Zadanie Prosto do matury 5.
186Zadanie 5.2.
192Zadanie 5.3.
192Zadanie 5.6.
193Zadanie 5.7.
193Zadanie 5.9.
193Zadanie 6.2.
208Zadanie 6.3.
209Zadanie 6.4.
209Zadanie 6.5.
209Zadanie 6.10.
210Zadanie 30.
217Zadanie 39.
218