Musisz obliczyć wartość skali potrzebnej do uzyskania zadanej figury.
Należy przekształcić ten prostokąt w skali
Obliczmy długości boków podanego prostokąta na podstawie własności trójkąta 30° 60° 90°:
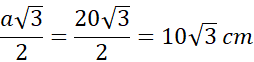
Z polecenia wiemy, że przeciwprostokątna tego trójkąta wynosi 20 cm:
Wzory na pozostałe boki możemy więc zapisać:
Możemy więc obliczyć pole podanego prostokąta które wynosi:
Oczekiwany przez nas prostokąt podobny powinien mieć pole:
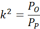
Obliczmy więc skalę podobieństwa (pamiętając, że pole jest iloczynem dwóch wartości, które są podobne do siebie w skali k):
Zadanie 1.1.
146Zadanie 1.4.
147Zadanie 1.8.
147Zadanie 1.13.
147Zadanie 1.18.
148Zadanie 1.19.
148Zadanie 1.24.
148Zadanie 1.27.
148Zadanie 2.1.
159Zadanie 2.2.
159Zadanie 2.7.
159Zadanie 2.12.
148Zadanie 3.3.
174Zadanie 3.12.
175Zadanie 3.13.
175Zadanie 3.15.
176Zadanie 4.2.
183Zadanie 4.3.
184Zadanie 4.4.
184Zadanie 4.6.
184Zadanie 4.7.
184Zadanie 4.8.
184Zadanie 4.9.
184Zadanie Prosto do matury 5.
186Zadanie 5.2.
192Zadanie 5.3.
192Zadanie 5.6.
193Zadanie 5.7.
193Zadanie 5.9.
193Zadanie 6.2.
208Zadanie 6.3.
209Zadanie 6.4.
209Zadanie 6.5.
209Zadanie 6.10.
210Zadanie 30.
217Zadanie 39.
218