Musisz zapisać układ równań wynikający z warunków zależności między okręgami oraz rozwiązać go by otrzymać szukane długości boków trójkąta.
Z warunków zależności okręgów otrzymujemy trójkąt o bokach 3, 4, 5, który zgodnie z twierdzeniem Pitagorasa jest trójkątem prostokątnym.
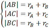
Ogólny warunek na okręgi styczne zewnętrznie:
Zapisując warunki okręgów stycznych zewnętrznie dla podanego zadania:
Podstawiając znane długości promieni:
Otrzymujemy trójkąt o bokach 3, 4, 5, który zgodnie z twierdzeniem Pitagorasa:
Jest trójkątem prostokątnym. – c. n. d.
Zadanie 1.1.
146Zadanie 1.4.
147Zadanie 1.8.
147Zadanie 1.13.
147Zadanie 1.18.
148Zadanie 1.19.
148Zadanie 1.24.
148Zadanie 1.27.
148Zadanie 2.1.
159Zadanie 2.2.
159Zadanie 2.7.
159Zadanie 2.12.
148Zadanie 3.3.
174Zadanie 3.12.
175Zadanie 3.13.
175Zadanie 3.15.
176Zadanie 4.2.
183Zadanie 4.3.
184Zadanie 4.4.
184Zadanie 4.6.
184Zadanie 4.7.
184Zadanie 4.8.
184Zadanie 4.9.
184Zadanie Prosto do matury 5.
186Zadanie 5.2.
192Zadanie 5.3.
192Zadanie 5.6.
193Zadanie 5.7.
193Zadanie 5.9.
193Zadanie 6.2.
208Zadanie 6.3.
209Zadanie 6.4.
209Zadanie 6.5.
209Zadanie 6.10.
210Zadanie 30.
217Zadanie 39.
218