Musisz obliczyć współczynnik podobieństwa otrzymanych trójkątów a następnie wyznaczyć szukany stosunek odległości.
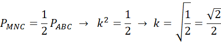
Oznaczając sytuację z polecenia jak na rysunku otrzymujemy trójkąt MNC oraz trapez ABNM. Z polecenia wiemy, że oba wielokąty posiadają równe pola, więc:
Trójkąty ABC i MNC są do siebie podobne w skali, którą możemy obliczyć:
Tak więc odległość MC trójkąta MNC wynosi odpowiednio:
By obliczyć zadany stosunek podziału odcinka AC:
Zadanie 1.1.
146Zadanie 1.4.
147Zadanie 1.8.
147Zadanie 1.13.
147Zadanie 1.18.
148Zadanie 1.19.
148Zadanie 1.24.
148Zadanie 1.27.
148Zadanie 2.1.
159Zadanie 2.2.
159Zadanie 2.7.
159Zadanie 2.12.
148Zadanie 3.3.
174Zadanie 3.12.
175Zadanie 3.13.
175Zadanie 3.15.
176Zadanie 4.2.
183Zadanie 4.3.
184Zadanie 4.4.
184Zadanie 4.6.
184Zadanie 4.7.
184Zadanie 4.8.
184Zadanie 4.9.
184Zadanie Prosto do matury 5.
186Zadanie 5.2.
192Zadanie 5.3.
192Zadanie 5.6.
193Zadanie 5.7.
193Zadanie 5.9.
193Zadanie 6.2.
208Zadanie 6.3.
209Zadanie 6.4.
209Zadanie 6.5.
209Zadanie 6.10.
210Zadanie 30.
217Zadanie 39.
218