Musisz obliczyć zadaną wartość geometryczną za pomocą własności geometrycznych figur.
Pole rombu ABCD wynosi 96 cm2.
Sytuacja przedstawiona na rysunku:
Odcinki K i L są środkami boków AB i BC, więc:
Wzór na pole rombu można zapisać:
A także jako sumę trójkątów:
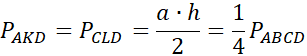
Zauważmy, że wzór na pola trójkątów AKD i CLD możemy zapisać:
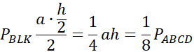
A także, że wzór na pole trójkąta BLK możemy zapisać:
Znając pole trójkąta DLK, możemy obliczyć:
Zadanie 1.1.
146Zadanie 1.4.
147Zadanie 1.8.
147Zadanie 1.13.
147Zadanie 1.18.
148Zadanie 1.19.
148Zadanie 1.24.
148Zadanie 1.27.
148Zadanie 2.1.
159Zadanie 2.2.
159Zadanie 2.7.
159Zadanie 2.12.
148Zadanie 3.3.
174Zadanie 3.12.
175Zadanie 3.13.
175Zadanie 3.15.
176Zadanie 4.2.
183Zadanie 4.3.
184Zadanie 4.4.
184Zadanie 4.6.
184Zadanie 4.7.
184Zadanie 4.8.
184Zadanie 4.9.
184Zadanie Prosto do matury 5.
186Zadanie 5.2.
192Zadanie 5.3.
192Zadanie 5.6.
193Zadanie 5.7.
193Zadanie 5.9.
193Zadanie 6.2.
208Zadanie 6.3.
209Zadanie 6.4.
209Zadanie 6.5.
209Zadanie 6.10.
210Zadanie 30.
217Zadanie 39.
218