Musisz przeanalizować podane zagadnienie oraz ocenić prawdziwość podanych zdań.
A. pola otrzymanych czworokątów są równe. – PRAWDA
B. obwody otrzymanych czworokątów są równe. – FAŁSZ
C. oba czworokąty są przystające. – FAŁSZ
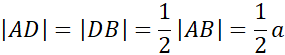
Pierwszy trójkąt:
Drugi trójkąt:
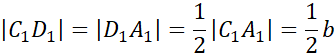
Niech:
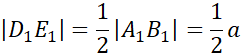
Przyjmując oznaczenia zgodnie z rysunkami powyżej, możemy zauważyć:
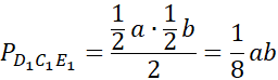
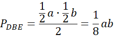
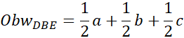
Oraz zapisać wzory na poszczególne pola:
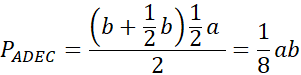
Stąd można wywnioskować, że:
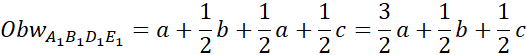
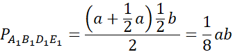
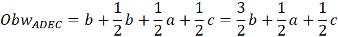
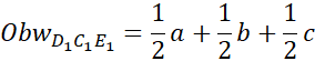
Oraz obwody:
Stąd można wywnioskować, że:
Jeżeli obwody dwóch czworokątów nie są równe, to możemy również wywnioskować, że nie są one do siebie przystające.
Zadanie 1.1.
146Zadanie 1.4.
147Zadanie 1.8.
147Zadanie 1.13.
147Zadanie 1.18.
148Zadanie 1.19.
148Zadanie 1.24.
148Zadanie 1.27.
148Zadanie 2.1.
159Zadanie 2.2.
159Zadanie 2.7.
159Zadanie 2.12.
148Zadanie 3.3.
174Zadanie 3.12.
175Zadanie 3.13.
175Zadanie 3.15.
176Zadanie 4.2.
183Zadanie 4.3.
184Zadanie 4.4.
184Zadanie 4.6.
184Zadanie 4.7.
184Zadanie 4.8.
184Zadanie 4.9.
184Zadanie Prosto do matury 5.
186Zadanie 5.2.
192Zadanie 5.3.
192Zadanie 5.6.
193Zadanie 5.7.
193Zadanie 5.9.
193Zadanie 6.2.
208Zadanie 6.3.
209Zadanie 6.4.
209Zadanie 6.5.
209Zadanie 6.10.
210Zadanie 30.
217Zadanie 39.
218