Musisz obliczyć pole trapezu na podstawie zależności pomiędzy odcinkami w podanym trapezie.
Pole trapezu ABCD wynosi 50.
Przyjmując oznaczenia zgodnie z rysunkiem powyżej, możemy zauważyć, że:
Poprowadźmy dodatkową wysokość |CE|. Zapiszmy wzór na pola trójkątów BCS i CDS:
Trójkąty CDS i ABS są trójkątami podobnymi z cechy kąt – kąt – kąt w pewnej skali k, więc:
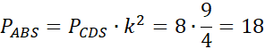
Znając pole trójkąta CDS i skalę podobieństwa możemy obliczyć pole trójkąta ABS:
Możemy zauważyć, że pola trójkątów ABD i ABC są sobie równe, ponieważ mają wspólny bok |AB| oraz równe długości wysokości opadających na ten bok. Można zapisać to w następujący sposób:
Ostatecznie, możemy obliczyć pole trapezu:
Zadanie 1.1.
146Zadanie 1.4.
147Zadanie 1.8.
147Zadanie 1.13.
147Zadanie 1.18.
148Zadanie 1.19.
148Zadanie 1.24.
148Zadanie 1.27.
148Zadanie 2.1.
159Zadanie 2.2.
159Zadanie 2.7.
159Zadanie 2.12.
148Zadanie 3.3.
174Zadanie 3.12.
175Zadanie 3.13.
175Zadanie 3.15.
176Zadanie 4.2.
183Zadanie 4.3.
184Zadanie 4.4.
184Zadanie 4.6.
184Zadanie 4.7.
184Zadanie 4.8.
184Zadanie 4.9.
184Zadanie Prosto do matury 5.
186Zadanie 5.2.
192Zadanie 5.3.
192Zadanie 5.6.
193Zadanie 5.7.
193Zadanie 5.9.
193Zadanie 6.2.
208Zadanie 6.3.
209Zadanie 6.4.
209Zadanie 6.5.
209Zadanie 6.10.
210Zadanie 30.
217Zadanie 39.
218