Musisz obliczyć zadane parametry opisanego trójkąta.
Przyjmując oznaczenia zgodnie z rysunkiem powyżej, możemy zauważyć, że:
Z własności trójkątów 30, 60, 90:
Środkowa |BD| dzieli bok |AC| na dwie równe części:
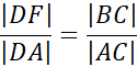
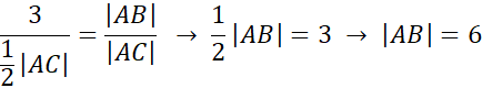
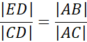
Możemy zauważyć, że trójkąty ABC i EDC oraz DAF i ABC są do siebie podobne z cechy kąt – kąt – kąt, więc możemy zapisać zależności wynikające z podobieństwa:
Podstawiając wyprowadzone wartości i zależności:
Przeciwprostokątną |AC| możemy obliczyć z twierdzenia Pitagorasa:
Pole trójkąta wynosi:
Łatwo zauważyć, że |AD|=|DC|=|DB|, więc:
Zadanie 1.1.
146Zadanie 1.4.
147Zadanie 1.8.
147Zadanie 1.13.
147Zadanie 1.18.
148Zadanie 1.19.
148Zadanie 1.24.
148Zadanie 1.27.
148Zadanie 2.1.
159Zadanie 2.2.
159Zadanie 2.7.
159Zadanie 2.12.
148Zadanie 3.3.
174Zadanie 3.12.
175Zadanie 3.13.
175Zadanie 3.15.
176Zadanie 4.2.
183Zadanie 4.3.
184Zadanie 4.4.
184Zadanie 4.6.
184Zadanie 4.7.
184Zadanie 4.8.
184Zadanie 4.9.
184Zadanie Prosto do matury 5.
186Zadanie 5.2.
192Zadanie 5.3.
192Zadanie 5.6.
193Zadanie 5.7.
193Zadanie 5.9.
193Zadanie 6.2.
208Zadanie 6.3.
209Zadanie 6.4.
209Zadanie 6.5.
209Zadanie 6.10.
210Zadanie 30.
217Zadanie 39.
218