Musisz obliczyć zadane wartości za pomocą twierdzenia Talesa.
Wprowadźmy dodatkowe oznaczenia punktów R i S (przecięcia symetralnej z polecenia z odcinkami |AB| oraz |BC|), zgodnie z rysunkiem:
Wiedząc, że:
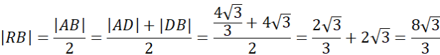
Możemy zapisać długości boków |RB| i |RD| następująco:
Możemy zauważyć, że obie proste |CD| i |RS| padają pod kątem prostym na prostą |AB|, więc są one do siebie równoległe, a dla trójkąta BCD możemy zapisać zależności z twierdzenia Talesa:
Z treści polecenia, wiemy, że:
Zadanie 1.1.
146Zadanie 1.4.
147Zadanie 1.8.
147Zadanie 1.13.
147Zadanie 1.18.
148Zadanie 1.19.
148Zadanie 1.24.
148Zadanie 1.27.
148Zadanie 2.1.
159Zadanie 2.2.
159Zadanie 2.7.
159Zadanie 2.12.
148Zadanie 3.3.
174Zadanie 3.12.
175Zadanie 3.13.
175Zadanie 3.15.
176Zadanie 4.2.
183Zadanie 4.3.
184Zadanie 4.4.
184Zadanie 4.6.
184Zadanie 4.7.
184Zadanie 4.8.
184Zadanie 4.9.
184Zadanie Prosto do matury 5.
186Zadanie 5.2.
192Zadanie 5.3.
192Zadanie 5.6.
193Zadanie 5.7.
193Zadanie 5.9.
193Zadanie 6.2.
208Zadanie 6.3.
209Zadanie 6.4.
209Zadanie 6.5.
209Zadanie 6.10.
210Zadanie 30.
217Zadanie 39.
218