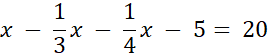
W tym zadaniu oblicz, ile orzechów otrzymały dzieci od babci, jeśli Piotr zjadł
x – liczba wszystkich orzechów
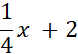
Orzechy które zjadł Piotrek:
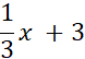
Orzechy które zjadła Kasia:
Pozostałe orzechy:
Dzieci otrzymały od babci 60 orzechów.
Oznaczamy liczbę wszystkich orzechów jako x i obliczamy, ile orzechów zjadł Piotrek, a ile Kasia. Liczba pozostałych orzechów jest równa różnicy liczby wszystkich orzechów i liczb orzechów zjedzonych przez Piotrka oraz Kasię.
Zadanie 2 zamknięte
162Zadanie 4 zamknięte
162Zadanie 8 zamknięte
163Zadanie 4.
164Zadanie 2 zamknięte
165Zadanie 7 zamknięte
165Zadanie 1.
166Zadanie 2.
166Zadanie 10.
167Zadanie 3 zamknięte
168Zadanie 4 zamknięte
168Zadanie 5 zamknięte
168Zadanie 8 zamknięte
169Zadanie 1.
169Zadanie 2.
169Zadanie 5.
169Zadanie 6.
169Zadanie 3 zamknięte
171Zadanie 5 zamknięte
171Zadanie 7 zamknięte
171Zadanie 9 zamknięte
172Zadanie 1.
173Zadanie 2.
173Zadanie 4.
173Zadanie 5.
173Zadanie 6.
173Zadanie 7.
173Zadanie 12.
174Zadanie 6 zamknięte
175Zadanie 1.
175Zadanie 2.
175Zadanie 6.
176Zadanie 11.
176