W tym zadaniu znajdź wyrażenie takie, że suma wszystkich pozostałych wyrażeń jest równa –2,95.
B.
Iloczyn liczb o różnych znakach jest równy iloczynowi ich wartości bezwzględnych ze znakiem minus na początku. Iloczyn liczb o takich samych znakach jest równy iloczynowi ich wartości bezwzględnych. Wynik dodawania dwóch liczb ujemnych jest równy sumie ich wartości bezwzględnych z minusem na początku.
Wyrażenie A:
Wyrażenie C:
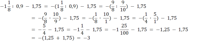
Wyrażenie D:
Suma:
0,6 + (–3) + (–0,55) = 0,6 – 1,75 – 0,55 = –2,95
Zadanie 2 zamknięte
162Zadanie 4 zamknięte
162Zadanie 8 zamknięte
163Zadanie 4.
164Zadanie 2 zamknięte
165Zadanie 7 zamknięte
165Zadanie 1.
166Zadanie 2.
166Zadanie 10.
167Zadanie 3 zamknięte
168Zadanie 4 zamknięte
168Zadanie 5 zamknięte
168Zadanie 8 zamknięte
169Zadanie 1.
169Zadanie 2.
169Zadanie 5.
169Zadanie 6.
169Zadanie 3 zamknięte
171Zadanie 5 zamknięte
171Zadanie 7 zamknięte
171Zadanie 9 zamknięte
172Zadanie 1.
173Zadanie 2.
173Zadanie 4.
173Zadanie 5.
173Zadanie 6.
173Zadanie 7.
173Zadanie 12.
174Zadanie 6 zamknięte
175Zadanie 1.
175Zadanie 2.
175Zadanie 6.
176Zadanie 11.
176