W tym zadaniu znajdź wyrażenie, których wartość jest o
B.
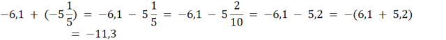
Dodawanie liczby ujemnej możemy zastąpić odejmowaniem jej wartości bezwzględnej. Wynikiem odejmowania dwóch liczby dodatniej od liczby ujemnej jest suma ich wartości bezwzględnych ze znakiem minus na początku. Żeby dodać lub odjąć ułamki sprowadzamy je do wspólnego mianownika, zamieniamy na ułamek niewłaściwy i odpowiednio dodajemy lub odejmujemy.
Wyrażenie A:
Wyrażenie B:
Wyrażenie C:
Wyrażenie D:
Zadanie 2 zamknięte
162Zadanie 4 zamknięte
162Zadanie 8 zamknięte
163Zadanie 4.
164Zadanie 2 zamknięte
165Zadanie 7 zamknięte
165Zadanie 1.
166Zadanie 2.
166Zadanie 10.
167Zadanie 3 zamknięte
168Zadanie 4 zamknięte
168Zadanie 5 zamknięte
168Zadanie 8 zamknięte
169Zadanie 1.
169Zadanie 2.
169Zadanie 5.
169Zadanie 6.
169Zadanie 3 zamknięte
171Zadanie 5 zamknięte
171Zadanie 7 zamknięte
171Zadanie 9 zamknięte
172Zadanie 1.
173Zadanie 2.
173Zadanie 4.
173Zadanie 5.
173Zadanie 6.
173Zadanie 7.
173Zadanie 12.
174Zadanie 6 zamknięte
175Zadanie 1.
175Zadanie 2.
175Zadanie 6.
176Zadanie 11.
176