W tym zadaniu sprawdź wynik którego wyrażenia jest większy i oblicz ich różnicę III.
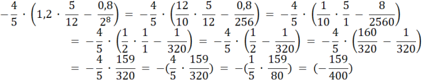
Wyrażenie III:
Wyrażenie IV:
Różnica:
Wyrażenie III jest większe o
Dodawanie liczby ujemnej możemy zastąpić odejmowaniem jej wartości bezwzględnej. Odejmowanie liczby ujemnej można zastąpić dodawaniem jej wartości bezwzględnej. Iloczyn liczb o różnych znakach jest równy iloczynowi ich wartości bezwzględnych ze znakiem minus na początku.
Zadanie 2 zamknięte
162Zadanie 4 zamknięte
162Zadanie 8 zamknięte
163Zadanie 4.
164Zadanie 2 zamknięte
165Zadanie 7 zamknięte
165Zadanie 1.
166Zadanie 2.
166Zadanie 10.
167Zadanie 3 zamknięte
168Zadanie 4 zamknięte
168Zadanie 5 zamknięte
168Zadanie 8 zamknięte
169Zadanie 1.
169Zadanie 2.
169Zadanie 5.
169Zadanie 6.
169Zadanie 3 zamknięte
171Zadanie 5 zamknięte
171Zadanie 7 zamknięte
171Zadanie 9 zamknięte
172Zadanie 1.
173Zadanie 2.
173Zadanie 4.
173Zadanie 5.
173Zadanie 6.
173Zadanie 7.
173Zadanie 12.
174Zadanie 6 zamknięte
175Zadanie 1.
175Zadanie 2.
175Zadanie 6.
176Zadanie 11.
176