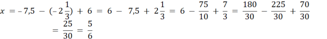
W tym zadaniu znajdź liczbę taką, że jeśli dodamy do niej liczbę –6, to będzie równa różnicy liczb –7,5 i
x – szukana liczba
Ta liczba to
Oznaczamy szukaną liczbę jako x i układamy równanie. Dodawanie liczby ujemnej można zastąpić odejmowaniem jej wartości bezwzględnej. Odejmowanie liczby ujemnej można zastąpić dodawaniem jej wartości bezwzględnej.
Zadanie 2 zamknięte
162Zadanie 4 zamknięte
162Zadanie 8 zamknięte
163Zadanie 4.
164Zadanie 2 zamknięte
165Zadanie 7 zamknięte
165Zadanie 1.
166Zadanie 2.
166Zadanie 10.
167Zadanie 3 zamknięte
168Zadanie 4 zamknięte
168Zadanie 5 zamknięte
168Zadanie 8 zamknięte
169Zadanie 1.
169Zadanie 2.
169Zadanie 5.
169Zadanie 6.
169Zadanie 3 zamknięte
171Zadanie 5 zamknięte
171Zadanie 7 zamknięte
171Zadanie 9 zamknięte
172Zadanie 1.
173Zadanie 2.
173Zadanie 4.
173Zadanie 5.
173Zadanie 6.
173Zadanie 7.
173Zadanie 12.
174Zadanie 6 zamknięte
175Zadanie 1.
175Zadanie 2.
175Zadanie 6.
176Zadanie 11.
176